เรามาหาอินเวอร์ส ลาปลาซกับชุดนี้ก่อน 
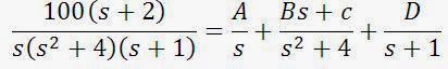
แยกเศษส่วนย่อยก่อน
เทียบหาค่าสัมประสิทธิ์
เมื่อได้A,B,C,Dแล้วนำมาใส่ในสมการ
แต่เนื่องด้วยสมการเป็นรูปแบบนี้ ซึ่งมีUnit Step Functions อยู่ด้วย
คือเมื่อทำการอินเวอร์เสร็จแล้ว มีtตรงไหนก็ให้ใส่-aที่นั้น  ข้อนี้ a=1

