คณิตศาสตร์ มหาวิทยาลัย วิธีการหาคำตอบ
เวบที่ทำขึ้นเพื่อคนไม่เข้าใจคณิตศาสตร์ จะแสดงวิธีคิด
หน้าเว็บ
หน้าแรก
เรื่อง
วิศวกรรมศาสตร์
บริหาร
เรื่องทั่วไป
หนังสือแนะนำและเวปแนะนำ
สูตรและคุณสมบัติ
ข้อสอบเก่า คำถามที่ถามมา
สอบถามปัญหาและdonate
วันพุธที่ 24 เมษายน พ.ศ. 2562
ตัวอย่างวงจรไฟฟ้าเบื้องต้น 1 Basic circuit 1
ตัวอย่างวงจรไฟฟ้าเบื้องต้น 1
จงคำนวนหากระแสไฟฟ้าในวงจร และแรงดันจากแหล่งจ่ายไฟฟ้าจากวงจร
สิ่งที่รู้
วงจรอนุกรม
กระแสที่ไหลใน
R2
แรงดันที่ตกคร่อมใน
R1
แรงดันที่ตกคร่อมใน
R3
แรงดังจากแหล่งจ่าย
วันจันทร์ที่ 15 เมษายน พ.ศ. 2562
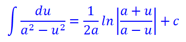
Integrated formula สูตร อินทิเกรต
Integrated formula
สูตร อินทิเกรต
( ปฏิยานุพันธ์ )
เป็นสูตรที่ใช้บ่อย ใช้เยอะที่สุด และสามารถจำไว้ใช้ได้ แต่จริงๆสูตรมีเยอะกว่านี้
1.
2.
3.
4.
5.
6.
7.
8.
9.
10.
11.
12.
13.
14.
15.
16.
17.
18.
19.
20.
21.
22.
23.
24.
25.
บทความที่ใหม่กว่า
บทความที่เก่ากว่า
หน้าแรก
สมัครสมาชิก:
ความคิดเห็น (Atom)