คณิตศาสตร์ มหาวิทยาลัย วิธีการหาคำตอบ
เวบที่ทำขึ้นเพื่อคนไม่เข้าใจคณิตศาสตร์ จะแสดงวิธีคิด
หน้าเว็บ
หน้าแรก
เรื่อง
วิศวกรรมศาสตร์
บริหาร
เรื่องทั่วไป
หนังสือแนะนำและเวปแนะนำ
สูตรและคุณสมบัติ
ข้อสอบเก่า คำถามที่ถามมา
สอบถามปัญหาและdonate
วันพุธที่ 15 มกราคม พ.ศ. 2557
ตัวอย่าง 1 Inverse Laplace อินเวอร์ส ลาปลาซ
นำชุดหลังมาแยกเศษส่วนย่อย
นำ
คูณทั้ง2ข้าง
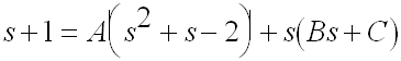
เทียบสัมประสิทธิ์
นำA,B,Cแทนในสมการ
นำสมการที่แยกมาได้ไปแทน
นำมาแยกกำลัง
ไม่มีความคิดเห็น:
แสดงความคิดเห็น
บทความใหม่กว่า
บทความที่เก่ากว่า
หน้าแรก
สมัครสมาชิก:
ส่งความคิดเห็น (Atom)
ไม่มีความคิดเห็น:
แสดงความคิดเห็น